全國2012年4月高等教育自學考試
教育統計與測量試題
課程代碼:00452
一、單項選擇題(本大題共15小題,每小題2分,共30分)
在每小題列出的四個備選項中只有一個是符合題目要求的,請將其代碼填寫在題后的括號內。錯選、多選或未選均不得分。
1.教育測量是( A )
A.觀測個體行為表現,推斷其內部心理特征
B.直接測量個體內部心理特征
C.測量個體外在行為表現
D.根據個體心理特征,推斷其外在行為表現
2.下列數據中,運算結果只是反映位次順序關系的是( B )
A.稱名變量數據 B.順序變量數據
C.等距變量數據 D.比率變量數據
3.下列不屬于數據的特點的是( B )
A.離散性 B.順序性
C.變異性 D.規律性
4.某校某班學生的家庭出身統計情況是:農民32%,工人28%,干部30%,其他10%。若要直觀描述這組統計數據宜采用( D )
A.散點圖 B.線形圖
C.條形圖 D.圓形圖
5.某小學一年級學生平均體重為25千克,標準差為3.7千克,平均身高為110厘米,標準差為6.2厘米,那么該小學一年級學生的體重差異程度與身高差異程度的關系是( B )
A.體重差異程度小于身高差異程度
B.體重差異程度大于身高差異程度
C.體重差異程度等于身高差異程度
D.體重差異程度與身高差異程度無法比較
6.比納智力測驗運用的常模屬于( D )
A.百分等級常模 B.標準分數常模
C.年級常模 D.年齡常模
7.下列對誤差的理解不正確的是( A )
A.誤差可以避免 B.誤差可以控制
C.誤差是客觀存在的 D.誤差可以分為測量誤差和抽樣誤差8.高考屬于( C )
A.標準參照測驗 B.診斷性測驗
C.常模參照測驗 D.形成性測驗
9.選擇題的優點是( D )
A.編題要求技巧不高
B.能考查學生思維發散力
C.有助于學生鞏固知識
D.能測量理解、應用領域中復雜的高級的學習成就
10.小概率事件是指( A )
A.P<0.05 B.P<0.1
C.P>0.05 D.P>0.1
11.下列不屬于發散性思維特征的是( C )
A.流暢性 B.變通性
C.突發性 D.獨特性
12.在次數分布表中,若要用代數區間來表示“60~65”,恰當的是( B )
A.[59.5,64.5] B.[59.5,64.5)
C.(59.5,64.5] D.(59.5,64.5)
13.衡量測驗工具的正確性的指標是( B )
A.測驗難度 B.測驗效度
C.測驗信度 D.測驗區分度
14.對兩獨立總體大樣本的平均數差異的顯著性檢驗應采用( D )
A.F檢驗 B.t檢驗
C.χ2檢驗 D.Z檢驗
15.在統計假設檢驗中,區分雙側檢驗與單側檢驗的關鍵在于( C )
A.樣本的分布 B.臨界值的確定
C.檢驗的目的 D.總體參數是否已知
二、名詞解釋題(本大題共4小題,每小題3分,共12分)
16.推斷統計
答:推斷統計是指利用實際獲得的樣本數據資料,依據數理統計提供的理論和方法,來對總體的數量特征與關系作出推論判斷,即進行統計估計和統計假設檢驗的統計方法。
17.離中趨勢
答:離中趨勢是數據具有偏離中心位置的趨勢,它反映了一組數據本身的離散程度和變異性程度。
18.抽樣分布
答:抽樣分布是從一個總體中隨機抽取若干個等容量的樣本,計算每個樣本的某個特征量數,由這些特征量數形成的分布,稱為這個特征量數的抽樣分布。
19.I型錯誤
答:I型錯誤是在統計決策中,將虛無假設屬真而被拒絕的錯誤稱為I型錯誤,又稱“拒真”錯誤。
三、簡答題(本大題共3小題,每小題6分,共18分)
20.簡述學習教育統計與測量的意義與方法。
答:意義:
(1)它是科學管理的重要手段;(1分)
(2)它是教育研究的重要工具;(1分)
(3)可鍛煉思想方法,掌握專門化術語和符號,增強科學素養。(1分)
方法:
(1) 切實掌握基本概念和原理,弄懂邏輯和方法;(1分)
(2) 聯系實際,認真聯系;(1分)
(3) 重視掌握計算工具。(1分)
21.簡述建立常模的步驟。
答:(1)首先,要科學抽樣,從清楚而明確地定義的“特定人群”總體中,抽取到容量足夠地大,并確具代表性的被式樣組,頁稱標準化樣組或常模組;(2分)
(2)其次,要用擬建立常模的測試,采用規范化施測手續與方法對標準化樣組(常模組)中的所有被試,施測該測驗,以便恰當而準確地收集到所有這些被試在該測驗上的實際測量值;(2分)
(3)最后,對收集到的全部資料進行統計分析處理,真正把握被試樣組在該測驗上的普遍水平或水平分布狀況,實際地建立起該測驗常模來。(2分)
22.簡述終結性測驗的概念及主要目的。
答:在課程結束或教學大周期結束時,用于確定教學目標達到程度和學生對與預期學習結果掌握程度的一類測驗,稱為終結性測驗。(3分)
目的:
(1) 對學生的學習情況作出全部的檢查與總結,并評定一個分數或等級;(1分)
(2) 評價教師教學的有效性;(1分)
預測學生其后學習上的情況。(1分)
四、計算題(本大題共3小題,每小題6分,共18分)
23.下表是某市6歲女生的平均身高、體重和8歲女生的平均身高的統計數據?,F該市有位6歲女生身高114厘米,體重29千克;有位8歲女生身高135厘米。
試問:(1)這位6歲女生的身高與體重哪一項發育得更好一些?
(2)這位6歲女生與那位8歲女生相比較,誰的身高發育更好一些? (結果保留2位小數)

答:8歲女孩的身高發育比6歲女孩的身高發育得更好。
24.有一是非選擇測驗題,每題采用(0,1)記分,共100題,滿分100分。下表是20位學生在該測驗中的總成績及第3題的得分情況。
(1)試求第3題的區分度;(2)該題的區分度強嗎?(Sx=8.88,結果保留2位小數)
學生 | 01 | 02 | 03 | 04 | 05 | 06 | 07 | 08 | 09 | 10 | 11 | 12 | 13 | 14 | 15 | 16 | 17 | 18 | 19 | 20 |
總分 | 84 | 82 | 76 | 60 | 72 | 74 | 76 | 84 | 88 | 90 | 78 | 80 | 92 | 94 | 96 | 88 | 90 | 78 | 76 | 74 |
題分 | 1 | 0 | 0 | 0 | 0 | 0 | 0 | 1 | 1 | 1 | 1 | 0 | 1 | 1 | 1 | 1 | 1 | 0 | 0 | 0 |


(2)項目區分度指數的取值范圍在-1.00至1.00之間,一般認為,若區分度指數值大于0.40,試題區分度能力就很強,由于0.77>0.4,所以該題的區分度很強。(2分)
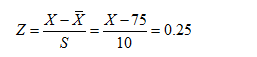
25.假設某次人事選拔考試分數服從正態分布,平均數和標準差分別為75分和10分,現欲選出40%高分者錄取,問分數線應當為多少?(z值表附于卷后,結果保留2位小數)
解:根據題意可知:P=0.5-0.4=0.1,查表得,Z=0.25 (2分)
將已知條件代入公式:
(2分)
X=77.5 (1分)
答:分數線應為77.5分。 (1分)
(注:若Z=0.26,X=77.6也為正確)
五、綜合應用題(本大題共1小題,共10分)
26.下表是某校對畢業生考研的調查數據,試判斷學生考研態度與所學專業是否有聯系。


六、論述題(本大題共1小題,共12分)
27.試述統計假設檢驗中虛無假設和備擇假設的關系。
答:(1)虛無假設與備擇假設都是相對比較明確的陳述命題;(2分)
(2)虛無假設在假設檢驗中被視為已知條件;(2分)
(3)備擇假設與虛無假設是成對作出的,形式上同時出現的缺一不可;(2分)
(4)備擇假設與虛無假設的對立假設,從假設內容邏輯關系看,兩者彼此相背,并非此即彼;(2分)
(5)備擇假設是虛無假設被拒絕之后供采擇的假設,故虛無假設一定在前,備擇假設一定在后;(2分)
(6)虛無假設與備擇假設的作出要根據檢驗的目的來確定。(2分)
附:正態分布表
(曲線下的面積與縱高)
Z | Y | P | Z | Y | P |
.25 .26 .27 .28 .29 | .38667 .38568 .38466 .38361 .38251 | .9871 .10257 .10642 .11026 .11409 | 1.25 1.26 1.27 1.28 1.29 | .18265 .18037 .17810 .17585 .17360 | .39435 .39617 .39796 .39973 .40147 |